Computer >> Hướng Dẫn Máy Tính >  >> Lập Trình >> Lập Trình C

Tam giác Reuleaux lớn nhất trong A Square?

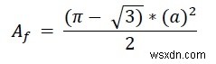
Ở đây chúng ta sẽ thấy diện tích của tam giác Reuleaux lớn nhất nội tiếp trong một hình vuông. Cạnh của hình vuông là ‘a’. Và chiều cao của tam giác Reuleaux là h.

Tam giác Reuleaux lớn nhất trong A Square?

Chiều cao của tam giác Reuleaux bằng a. Vậy a =h. Vậy diện tích tam giác Reuleaux là -

Tam giác Reuleaux lớn nhất trong A Square?

Ví dụ

#include <iostream>
#include <cmath>
using namespace std;
float areaReuleaux(float a) { //side of square is a
   if (a < 0) //if a is negative it is invalid
      return -1;
   float area = ((3.1415 - sqrt(3)) * (a) * (a))/2;
   return area;
}
int main() {
   float side = 8;
   cout << "Area of Reuleaux Triangle: " << areaReuleaux(side);
}

Đầu ra

Area of Reuleaux Triangle: 45.1024