Computer >> Hướng Dẫn Máy Tính >  >> Lập Trình >> Lập Trình C

Tam giác Reuleaux lớn nhất nội tiếp trong một hình vuông mà nội tiếp một lục giác?

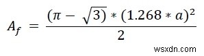
Ở đây chúng ta sẽ thấy diện tích của tam giác Reuleax lớn nhất nội tiếp trong một hình vuông nội tiếp một lục giác đều. Giả sử ‘a’ là cạnh của lục giác. Cạnh của hình vuông là x và chiều cao của hình tam giác Reuleaux là h.

Tam giác Reuleaux lớn nhất nội tiếp trong một hình vuông mà nội tiếp một lục giác?

Từ công thức của mỗi cạnh của hình vuông nội tiếp bên trong một hình lục giác là -

𝑥 = 1.268𝑎

Chiều cao của tam giác Reuleaux bằng x. Vậy x =h. Vậy diện tích của tam giác Reuleaux là -

Tam giác Reuleaux lớn nhất nội tiếp trong một hình vuông mà nội tiếp một lục giác?

Ví dụ

#include <iostream>
#include <cmath>
using namespace std;
float areaReuleaux(float a) { //side of hexagon is a
   if (a < 0) //if a is negative it is invalid
      return -1;
   float area = ((3.1415 - sqrt(3)) * (1.268*a) * (1.268*a))/2;
   return area;
}
int main() {
   float side = 5;
   cout << "Area of Reuleaux Triangle: " << areaReuleaux(side);
}

Đầu ra

Area of Reuleaux Triangle: 28.3268