Computer >> Hướng Dẫn Máy Tính >  >> Lập Trình >> Lập Trình C

C / C ++ Chương trình tìm đỉnh, tiêu điểm và ma trận trực tiếp của một parabol?

Ở đây chúng ta sẽ xem cách tìm đỉnh, tiêu điểm trực tiếp của một parabol bằng chương trình C hoặc C ++. Để có được các tham số này, chúng ta cần phương trình tổng quát của một parabol. Công thức chung là -

𝑦 = 𝑎𝑥+ 𝑏𝑥 + 𝑐

Giá trị của a, b và c là cho trước.

C / C ++ Chương trình tìm đỉnh, tiêu điểm và ma trận trực tiếp của một parabol?

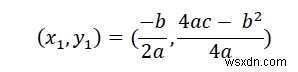
Công thức cho đỉnh -

C / C ++ Chương trình tìm đỉnh, tiêu điểm và ma trận trực tiếp của một parabol?

Công thức cho tiêu điểm -

C / C ++ Chương trình tìm đỉnh, tiêu điểm và ma trận trực tiếp của một parabol?

Công thức cho Ma trận trực tiếp - y -

C / C ++ Chương trình tìm đỉnh, tiêu điểm và ma trận trực tiếp của một parabol?

Ví dụ

#include <bits/stdc++.h>
using namespace std;
void getParabolaDetails(float a, float b, float c) {
   cout << "The vertex: (" << (-b / (2 * a)) << ", " << (((4 * a * c) - (b * b)) / (4 * a)) << ")" << endl;
   cout << "The Focus: (" << (-b / (2 * a)) << ", " << (((4 * a * c) - (b * b) + 1) / (4 * a)) << ")" << endl;
   cout << "y-Directrix:" << c - ((b * b) + 1) * 4 * a << endl;
}
main() {
   float a = 10, b = 3, c = 4;
   getParabolaDetails(a, b, c);
}

Đầu ra

The vertex: (-0.15, 3.775)
The Focus: (-0.15, 3.8)
y-Directrix:-396