Computer >> Hướng Dẫn Máy Tính >  >> Lập Trình >> C++

Chương trình C ++ để kiểm tra xem một đồ thị được hướng dẫn có chứa một chu trình Eulerian hay không

Chu trình / mạch Euler là một đường dẫn; bằng cách đó chúng tôi có thể ghé thăm mọi cạnh chính xác một lần. Chúng ta có thể sử dụng các đỉnh giống nhau cho nhiều lần. Euler Circuit là một loại đường dẫn Euler đặc biệt. Khi đỉnh bắt đầu của đường Euler cũng được nối với đỉnh kết thúc của đường dẫn đó, thì nó được gọi là Mạch Euler.

Chương trình C ++ để kiểm tra xem một đồ thị được hướng dẫn có chứa một chu trình Eulerian hay không

Để kiểm tra xem một biểu đồ có phải là Eulerian hay không, chúng ta phải kiểm tra hai điều kiện -

  • Biểu đồ phải được kết nối.

  • Độ trong và độ của mỗi đỉnh phải giống nhau.

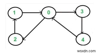
Đầu vào - Ma trận kề của đồ thị.

0 1 0 0 0
0 0 1 0 0
0 0 0 1 1
1 0 0 0 0
0 0 1 0 0

Đầu ra - Đã tìm thấy mạch Euler

Thuật toán

traverse (u, đã ghé thăm)

Đầu vào - Nút bắt đầu u và nút đã truy cập để đánh dấu nút nào được truy cập.

Đầu ra - Đi ngang qua tất cả các đỉnh được kết nối.

Begin
   mark u as visited
   for all vertex v, if it is adjacent with u, do
      if v is not visited, then
         traverse(v, visited)
   done
End

isConnected (đồ thị)

Đầu vào - Biểu đồ.

Đầu ra - Đúng nếu biểu đồ được kết nối.

Begin
   define visited array
   for all vertices u in the graph, do
      make all nodes unvisited
      traverse(u, visited)
      if any unvisited node is still remaining, then
         return false
   done
   return true
End

isEulerCircuit (Đồ thị)

Đầu vào - Đồ thị đã cho.

Đầu ra - Đúng khi tìm thấy một mạch Euler.

Begin
   if isConnected() is false, then
      return false
   define list for inward and outward edge count for each node
   for all vertex i in the graph, do
      sum := 0
      for all vertex j which are connected with i, do
         inward edges for vertex i increased
         increase sum
      done
      number of outward of vertex i is sum
   done
   if inward list and outward list are same, then
       return true
    otherwise return false
End

Mã mẫu

#include<iostream>
#include<vector>
#define NODE 5
using namespace std;
int graph[NODE][NODE] = {{0, 1, 0, 0, 0},
   {0, 0, 1, 0, 0},
   {0, 0, 0, 1, 1},
   {1, 0, 0, 0, 0},
   {0, 0, 1, 0, 0}};
void traverse(int u, bool visited[]) {
   visited[u] = true;     //mark v as visited
   for(int v = 0; v<NODE; v++) {
      if(graph[u][v]) {
         if(!visited[v])
            traverse(v, visited);
      }
   }
}
bool isConnected() {
   bool *vis = new bool[NODE];
   //for all vertex u as start point, check whether all nodes are visible or not
   for(int u; u < NODE; u++) {
      for(int i = 0; i<NODE; i++)
         vis[i] = false;     //initialize as no node is visited
         traverse(u, vis);
      for(int i = 0; i<NODE; i++) {
         if(!vis[i])     //if there is a node, not visited by traversal, graph is not connected
            return false;
      }
   }
   return true;
}
bool isEulerCircuit() {
   if(isConnected() == false) {     //when graph is not connected
      return false;
   }
   vector<int> inward(NODE, 0), outward(NODE, 0);
   for(int i = 0; i<NODE; i++) {
      int sum = 0;
      for(int j = 0; j<NODE; j++) {
         if(graph[i][j]) {
            inward[j]++;     //increase inward edge for destination
            vertex
            sum++;    //how many outward edge
         }
      }
      outward[i] = sum;
   }
   if(inward == outward)      //when number inward edges and outward edges
      for each node is same
         return true;
   return false;
}
int main() {
   if(isEulerCircuit())
      cout << "Euler Circuit Found.";
   else
     cout << "There is no Euler Circuit.";
}

Đầu ra

Euler Circuit Found.