Computer >> Hướng Dẫn Máy Tính >  >> Lập Trình >> Lập Trình C

Ngược chiều kim đồng hồ đi qua xoắn ốc của một cây nhị phân?

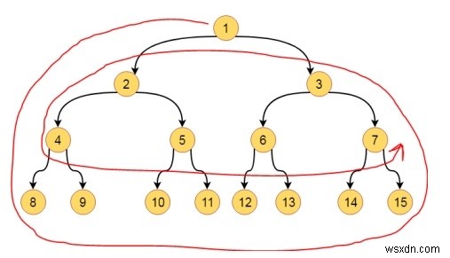
Ở đây chúng ta sẽ thấy một vấn đề thú vị. Chúng tôi có một cây nhị phân. Chúng ta phải đi ngang cây theo hướng ngược chiều kim đồng hồ. Đường truyền sẽ giống như bên dưới -

Ngược chiều kim đồng hồ đi qua xoắn ốc của một cây nhị phân?

Trình tự duyệt là 1, 8, 9, 10, 11, 12, 13, 14, 15, 3, 2, 4, 5, 6, 7

Thuật toán

antiClockTraverse (gốc)

Begin
   i := 1, j := height of the tree
   flag := false
   while i <= j, do
      if flag is false, then
         print tree elements from right to left for level i
         flag := true
         i := i + 1
      else
         print tree elements from left to right for level j
         flag := false
         j := j - 1
      end if
   done
End

Ví dụ

#include<iostream>
using namespace std;
class Node {
   public:
      Node* left;
      Node* right;
      int data;
   Node(int data) { //constructor to create node
      this->data = data;
      this->left = NULL;
      this->right = NULL;
   }
};
int getHeight(Node* root) {
   if (root == NULL)
   return 0;
   //get height of left and right subtree
   int hl = getHeight(root->left);
   int hr = getHeight(root->right);
   return 1 + max(hl, hr); //add 1 for root
}
void printLeftToRight(class Node* root, int level) {
   if (root == NULL)
      return;
   if (level == 1)
      cout << root->data << " ";
   else if (level > 1) {
      printLeftToRight(root->left, level - 1);
      printLeftToRight(root->right, level - 1);
   }
}
void printRightToLeft(struct Node* root, int level) {
   if (root == NULL)
      return;
   if (level == 1)
      cout << root->data << " ";
   else if (level > 1) {
      printRightToLeft(root->right, level - 1);
      printRightToLeft(root->left, level - 1);
   }
}
void antiClockTraverse(class Node* root) {
   int i = 1;
   int j = getHeight(root);
   int flag = 0; //flag is used to change direction
   while (i <= j) {
      if (flag == 0) {
         printRightToLeft(root, i);
         flag = 1; //set flag to print from left to right
         i++;
      }else {
         printLeftToRight(root, j);
         flag = 0; //set flag to print from right to left
         j--;
      }
   }
}
int main() {
   struct Node* root;
   root = new Node(1);
   root->left = new Node(2);
   root->right = new Node(3);
   root->left->left = new Node(4);
   root->left->right = new Node(5);
   root->right->left = new Node(6);
   root->right->right = new Node(7);
   root->left->left->left = new Node(8);
   root->left->left->right = new Node(9);
   root->left->right->left = new Node(10);
   root->left->right->right = new Node(11);
   root->right->left->left = new Node(12);
   root->right->left->right = new Node(13);
   root->right->right->left = new Node(14);
   root->right->right->right = new Node(15);
   antiClockTraverse(root);
}

Đầu ra

1 8 9 10 11 12 13 14 15 3 2 4 5 6 7