Computer >> Hướng Dẫn Máy Tính >  >> Phần Cứng >> Phần Cứng

Máy tính xách tay chơi game có đáng mua vào năm 2021 không?

Máy tính xách tay chơi game có đáng mua vào năm 2021 không?

Cho đến một vài năm trước, máy tính xách tay chơi game đã gặp phải những lời chế giễu và chế giễu. Logic cho điều này nằm dọc theo dòng "Tại sao bạn trả nhiều tiền hơn cho một" máy tính xách tay chơi game "hơn là một máy tính để bàn, với cùng mức giá, sẽ có thông số kỹ thuật mạnh mẽ hơn nhiều?" Thêm vào đó là thực tế là máy tính xách tay chơi game không hiệu quả trong việc thoát nhiệt và chúng nặng và (thường là) xấu xí, và bạn có thể thấy lập luận.

Nhưng mọi thứ có thể thay đổi rất nhiều trong thế giới công nghệ trong một vài năm và có thể nói rằng một số điều thay đổi trò chơi đã xảy ra để làm cho máy tính xách tay chơi game trở nên khả thi hơn bao giờ hết (ngay cả khi những chiếc tốt nhất vẫn là thứ xa xỉ).

Dưới đây là quan điểm của chúng tôi về việc liệu một chiếc máy tính xách tay chơi game có đáng để sở hữu vào năm 2021.

Giá

Máy tính xách tay chơi game đã thực sự giảm giá mạnh trong những năm gần đây. Mặc dù trước đây bạn phải chi tới 1200 đô la để chơi các trò chơi mới nhất ở cài đặt cao, nhưng bạn có thể dễ dàng tìm thấy những trò chơi với giá rẻ hơn hiện nay. Tại thời điểm viết bài, bạn có thể mua Lenovo Legion với RTX 2060 với giá dưới 900 đô la. Điều này cũng sẽ cung cấp cho bạn quyền truy cập vào raytracing cấp đầu vào (Bạn không biết raytracing là gì? Hãy xem hướng dẫn của chúng tôi về chủ đề này.)

Máy tính xách tay chơi game có đáng mua vào năm 2021 không?

Ở mức cuối ngân sách, bạn có thể tìm thấy một chiếc máy tính xách tay có GTX 1650 (GPU rẻ nhất tại thời điểm này sẽ vẫn hiển thị hầu hết các trò chơi có thể chơi được) với giá khoảng 700 đô la. Thế hệ máy tính xách tay mới nhất có GPU RTX, có sẵn từ tháng 2 năm 2021, bắt đầu từ khoảng $ 1100 với các mẫu RTX 3060. Ngoài ra, bạn có thể mong đợi trả tới 2000 đô la cho những chiếc máy tính xách tay chơi game mới nhất và tốt nhất, nhưng mức đầu vào đã trở nên hợp lý hơn trong những năm gần đây.

Bạn cần tự hỏi mình một số câu hỏi:Bạn có dự định chơi game nhiều khi đang di chuyển hay chủ yếu chơi game ở nhà? Bởi vì nếu là loại thứ hai, với cùng mức giá của một máy tính xách tay chơi game mạnh mẽ, bạn có thể nhận được một máy tính để bàn chơi game rất tốt và một máy tính xách tay di động nhẹ để làm việc khi di chuyển. Hãy cân nhắc rằng chơi game và máy tính di động của bạn có thể là hai thứ riêng biệt đối với giá của một máy tính xách tay chơi game.

Máy tính xách tay chơi game có đáng mua vào năm 2021 không?

Nếu bạn thích ý tưởng có thể chơi ở các phòng khác nhau trong ngôi nhà của mình, hãy nhớ rằng các dịch vụ như Steam Link cho phép bạn truyền trực tuyến giữa các thiết bị trong nhà để bạn có thể chơi game từ PC để bàn mạnh mẽ sang máy tính xách tay hoặc thậm chí một chiếc điện thoại.

Nếu bạn đi du lịch nhiều nơi hoặc thích ý tưởng mang toàn bộ bộ sưu tập trò chơi của mình đến nhà một người bạn để chơi trò chơi đêm, thì trường hợp mua một máy tính xách tay chơi game trở nên mạnh mẽ hơn.

Sức mạnh

Máy tính xách tay chơi game có đáng mua vào năm 2021 không?

Trên lý thuyết, máy tính xách tay chơi game gần như phù hợp với các đối tác PC của chúng. Ví dụ:chỉ cần nhìn vào phiên bản máy tính xách tay của GPU Nvidia RTX 2080 và phiên bản dành cho máy tính để bàn, bạn sẽ thấy rằng điểm chuẩn của chúng không quá xa nhau.

Máy tính xách tay chơi game có đáng mua vào năm 2021 không?

Tuy nhiên, điều đó không nói lên toàn bộ câu chuyện vì máy tính xách tay có xu hướng ép xung các thành phần của chúng - đôi khi khá mạnh - để đảm bảo máy tính xách tay không bị quá nóng. Các OEM máy tính xách tay gặp rất nhiều khó khăn với việc giới hạn tốc độ xung nhịp trên GPU và đôi khi chúng có thể bị tốc độ thấp hơn từ 30 đến 50% so với các đối tác máy tính để bàn.

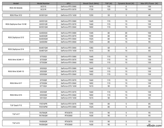
Ngoài ra, với thế hệ GPU di động Nvidia mới nhất, có rất nhiều điểm khác biệt ngay cả với GPU có cùng tên và tính năng trong một số máy tính xách tay. Chỉ cần nhìn vào danh sách máy tính xách tay Asus này và thông số kỹ thuật GPU của chúng, được mua bởi trang công nghệ Tweakers của Hà Lan.

Máy tính xách tay chơi game có đáng mua vào năm 2021 không?

Như bạn có thể thấy, tốc độ xung nhịp, TGP (Tổng công suất đồ họa), Công suất GPU tối đa và khả năng Tăng cường động ngay cả trên một kiểu GPU duy nhất khác nhau rất nhiều giữa các máy tính xách tay.

Bài học ở đây là luôn kiểm tra tốc độ xung nhịp của GPU (và CPU) khi mua máy tính xách tay mới vì nó sẽ thay đổi ngay cả khi về mặt kỹ thuật là cùng một phần cứng và gần như chắc chắn xung nhịp của nó sẽ thấp hơn một chút so với máy tính để bàn. Nvidia đã khuấy động vùng nước bằng GPU thế hệ mới nhất của mình và điều quan trọng là phải luôn cập nhật nó để có được ưu đãi tốt nhất.

Ngoài ra, hãy nhớ rằng càng nhiều sức mạnh đồ họa thì GPU của bạn càng có khả năng to hơn - có thể là to hơn cả PC tháp - bởi vì thiết lập nhiệt phải làm việc nhiều hơn để đẩy tất cả nhiệt đó ra ngoài. Đó vẫn là một vấn đề phổ biến.

Trọng lượng và Cấu trúc

Cho đến gần đây, nhiều máy tính xách tay chơi game xấu xí đến mức khó tin. Các phím màu đỏ hoặc RGB phát sáng, thiết kế cồng kềnh và phông chữ chủ đạo là tất cả thứ tự trong ngày. Nhưng mọi thứ cũng đang dần thay đổi ở mặt này.

Máy tính xách tay chơi game có đáng mua vào năm 2021 không?

Phần lớn, các máy tính xách tay chơi game cao cấp nhất vẫn sẽ chứa GPU và mức độ thông gió sẽ mang lại cho chúng một hệ số hình thức lớn. Nhưng vẫn có những trường hợp ngoại lệ. Máy tính xách tay Asus TUF DASH mới nhất ép đồ họa RTX 3060 và 3070 vào thân máy cực kỳ nhỏ, nhưng như bảng trong tiêu đề trước cho thấy, bạn sẽ phải hy sinh một chút năng lượng. Tuy nhiên, nếu bạn muốn thời lượng pin dài và một thiết bị di động thực sự thì chúng là những thứ bạn nên có.

Cho đến khi dòng TUF DASH ra đời, bạn sẽ khó tìm thấy máy tính xách tay chơi game mỏng chắc chắn. Các máy tính xách tay mỏng nhất có xu hướng có đồ họa tích hợp, kém cho việc chơi game. Ví dụ, dòng Razer Blade Stealth và Book rất đắt và không mạnh bằng.

Công nghệ máy tính xách tay chơi game đã có một chặng đường dài và ước mơ có thể chơi những game hay nhất mọi lúc mọi nơi đã đến rất nhiều. Nếu bạn đang tìm mua một máy tính xách tay đã qua sử dụng, hãy nhớ xem hướng dẫn của chúng tôi về những điều cần tìm.