Computer >> Hướng Dẫn Máy Tính >  >> Lập Trình >> C++

Làm thế nào để tính toán kết hợp và hoán vị trong C ++?


Tổ hợp và hoán vị là một phần của Tổ hợp. Hoán vị là các cách sắp xếp khác nhau mà một tập hợp các phần tử có thể thực hiện nếu các phần tử được thực hiện lần lượt, một số tại một thời điểm hoặc tất cả tại một thời điểm. Kết hợp là các cách khác nhau để chọn các phần tử nếu các phần tử được sử dụng lần lượt, một số tại một thời điểm hoặc tất cả cùng một lúc.

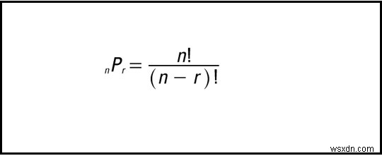
Số hoán vị khi có tổng n phần tử và cần sắp xếp r phần tử.

Làm thế nào để tính toán kết hợp và hoán vị trong C ++?

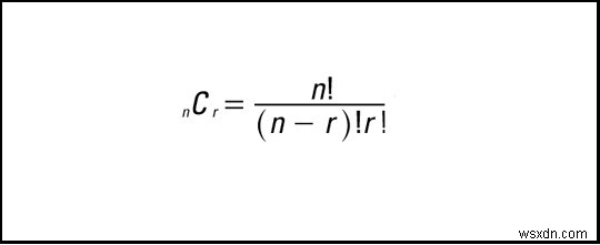
Số lượng kết hợp khi có tổng số n phần tử và r phần tử cần được chọn.

Làm thế nào để tính toán kết hợp và hoán vị trong C ++?

Một chương trình tính toán tổ hợp và hoán vị trong C ++ được đưa ra như sau.

Ví dụ

#include <iostream>
using namespace std;
int fact(int n) {
   if (n == 0 || n == 1)
   return 1;
   else
   return n * fact(n - 1);
}
int main() {
   int n, r, comb, per;
   cout<<"Enter n : ";
   cin>>n;
   cout<<"\nEnter r : ";
   cin>>r;
   comb = fact(n) / (fact(r) * fact(n-r));
   cout << "\nCombination : " << comb;
   per = fact(n) / fact(n-r);
   cout << "\nPermutation : " << per;
   return 0;
}

Đầu ra

Kết quả của chương trình trên như sau.

Enter n : 5
Enter r : 3
Combination : 10
Permutation : 60