Computer >> Hướng Dẫn Máy Tính >  >> Lập Trình >> Python

Cây con trung bình tối đa trong Python


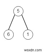
Giả sử chúng ta có gốc của cây nhị phân; chúng ta phải tìm giá trị trung bình lớn nhất của bất kỳ cây con nào của cây đó. Vì vậy, nếu cây như -

Cây con trung bình tối đa trong Python

Đầu ra sẽ là 6, điều này là do, đối với nút 5, nó sẽ là (5 + 6 + 1) / 3 =4, sau đó đối với nút 6, nó sẽ là 6/1 =6 và đối với nút 1, nó sẽ là 1/1 =1, vì vậy giá trị lớn nhất là 6.

Để giải quyết vấn đề này, chúng tôi sẽ làm theo các bước sau -

  • res:=0

  • Xác định một phương thức có tên là giải quyết (), phương thức này sẽ có giá trị root

  • nếu gốc chưa được đặt, thì trả về một cặp [0, 0]

  • left:=giải quyết (bên trái của thư mục gốc) phải:=giải quyết (bên phải thư mục gốc)

  • c:=left [0] + right [0] + 1

  • s:=left [1] + right [1] + giá trị của root

  • ans:=max of and ans s / c

  • trả về một cặp [c, s]

  • Từ phương thức chính, đặt ans:=0, gọi giải quyết (root) và trả về ans

Ví dụ (Python)

Hãy cùng chúng tôi xem cách triển khai sau để hiểu rõ hơn -

class TreeNode:
   def __init__(self, data, left = None, right = None):
      self.data = data
      self.left = left
      self.right = right
def insert(temp,data):
   que = []
   que.append(temp)
   while (len(que)):
      temp = que[0]
      que.pop(0)
      if (not temp.left):
         if data is not None:
            temp.left = TreeNode(data)
         else:
            temp.left = TreeNode(0)
         break
      else:
         que.append(temp.left)
      if (not temp.right):
         if data is not None:
            temp.right = TreeNode(data)
         else:
            temp.right = TreeNode(0)
         break
      else:
         que.append(temp.right)
def make_tree(elements):
   Tree = TreeNode(elements[0])
   for element in elements[1:]:
      insert(Tree, element)
   return Tree
class Solution(object):
   def helper(self, node):
      if not node:
         return 0, 0
      left_sum, left_count = self.helper(node.left)
      right_sum, right_count = self.helper(node.right)
      self.ans = max(self.ans, (left_sum + right_sum + node.data) / (left_count + right_count + 1))
      return left_sum + right_sum + node.data, left_count + right_count + 1
   def maximumAverageSubtree(self, root):
      self.ans = 0
      self.helper(root)
      return self.ans
ob = Solution()
root = make_tree([5,6,1])
print(ob.maximumAverageSubtree(root))

Đầu vào

[5,6,1]

Đầu ra

6.0